Печать
INTEGRIN #V#3 ANTAGONIST, P1 1PC X 5MG
Кат. №: 407272-5MG
Производитель: Sigma-Aldrich
Кол-во:
Фасовка:
Цена по запросу
Товар оформляется под заказ
Печать
INTEGRIN #V#3 ANTAGONIST, P1 1PC X 5MG
Кат. №: 407272-5MG
Производитель: Sigma-Aldrich
Кол-во:
Фасовка:
Цена по запросу
Товар оформляется под заказ
Кол-во:
Фасовка:
Цена по запросу
Товар оформляется под заказ
Description
General description
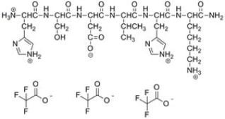
A cell-permeable, hexapeptide containing a novel integrin-binding motif, SDV (a Type I PDZ-binding motif) that is shown to compete with vitronectin for the RGD-binding site of integrin αvβ3 (IC50 = 1.74 pg/ml), in a chip-based assay. It is rapidly internalized into HUVECs, but not in NIH 3T3 cells, at a culture temperature of 37 °C, a process which is mediated by caveolin and clathrin. At 10 µg/ml, this compound is shown to significantly inhibit the phosphorylation of ERK1/2 and MEK in HUVECs. Furthermore, it suppresses bFGF-induced proliferation of HUVECs, dose-dependently, and displays up-regulation of p53 and induction of apoptosis via activation of caspases-3, -8 and -9 at 50 µg/ml.
Packaging
5 mg in Glass bottle
Packaged under inert gas
Warning
Toxicity: Standard Handling (A)
Physical form
Supplied as a trifluoracetate salt.
Reconstitution
Following reconstitution, aliquot and freeze (-20°C). Stock solutions are stable for up to 3 months at -20°C.
Other Notes
Bang, J., et al. 2011. Mol Cell Proteomics10, M110.
Choi, Y., et al. 2010. Proteomics10, 72.
Lee, Y., et al. 2004. J. Biomol. Screen.9, 687.
Related Categories
Antagonists, Cell Biology, Cell Signaling and Neuroscience, Endothelins, Peptides and Proteins,
Peptides for Cell Biology
More... Quality Level
Дорогой клиент, на сайте внедрена нейросеть для сбора информации о товаре. Это может привести к незначительным расхождениям в характеристиках продукции.
